以TEOS为硅源、GPTMS为交联剂、明胶为有机相,制备二氧化硅为主相的杂化墨水,实现可打印、可调控、高生物活性的骨组织工程支架。
固定水/TEOS摩尔比=8,筛选TEOS:GPTMS=5:5~9:1,明胶/溶胶=1:1/0.5:1,pH=4.5/5.0,最终得到4组可打印墨水:
图2 不同明胶pH、TEOS:GPTMS体积比下的可打印条件:(a)溶胶:明胶=1:1;(b)溶胶:明胶=1:0.5
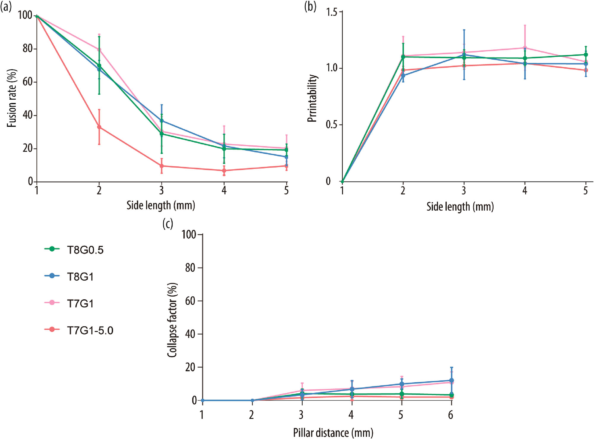
图3 杂化墨水形状保真度评价:(a)融合率;(b)可打印性;(c)塌陷因子
图4 15×15×3 mm³ 3D打印支架及其SEM表面形貌(T8G1、T8G0.5、T7G1、T7G1-5.0)
| 组别 | TEOS:GPTMS比例 | 明胶:溶胶比例 | pH值 |
|---|---|---|---|
| T8G1 | 8:2 | 1:1 | 4.5 |
| T8G0.5 | 8:2 | 0.5:1 | 4.5 |
| T7G1 | 7:3 | 1:1 | 4.5 |
| T7G1-5.0 | 7:3 | 1:1 | 5.0 |
| 组别 | X-Y平面收缩(%) | Z-Y平面收缩(%) | 杆径(mm) |
|---|---|---|---|
| T8G1 | 36.1±1.3 | 44.3±11.0 | 1.0±0.1 |
| T8G0.5 | 39.5±1.7* | 41.3±10.1 | 1.1±0.1 |
| T7G1 | 34.1±2.1 | 36.0±10.6 | 1.0±0.1 |
| T7G1-5.0 | 36.4±1.2 | 41.3±6.1 | 3.7±0.1* |
* 与T8G1相比有统计学差异(p<0.05)
| 组别 | 弹性模量(MPa) | 最大应力(MPa) | 断裂应变(%) |
|---|---|---|---|
| 纯二氧化硅 | 34.2±11.0 | 0.09±0.02 | 21.7±6.6 |
| T8G1 | 44.0±2.7 | 0.37±0.09ᵃ | 37.9±7.2 |
| T8G0.5 | 43.6±5.9 | 0.26±0.06ᵃ | 30.2±6.3 |
| T7G1 | 46.2±13.8 | 1.10±0.36ᵃ | 46.6±9.8ᵃ |
| T7G1-5.0 | 31.6±10.0 | 0.73±0.20ᵃ | 56.1±8.4ᵃ |
ᵃ 与纯二氧化硅相比有统计学差异(p<0.05)
图5 3D打印支架理化特性分析:(a)湿态应力-应变曲线;(b)24h吸水率;(c)21天降解率;(d)明胶释放动力学
图6 体外磷灰石形成测试:(a)-(e)不同组别3/7天SEM图;(f)EDS钙磷元素确认
图7 杂化薄膜细胞毒性评价:第1天与第7天DNA定量
图8 3D支架细胞增殖:(a)DNA定量;(b)免疫荧光染色(鬼笔环肽绿色/DAPI蓝色)
该二氧化硅-明胶杂化支架兼顾二氧化硅生物活性与明胶的细胞亲和性、柔韧性、可降解性,温和制备工艺适合包载生物活性因子,在骨组织工程中具备极高应用潜力。
期刊:Journal of Sol-Gel Science and Technology (2026) 117:3
DOI:https://doi.org/10.1007/s10971-025-07022-x
作者:Raquel Rodríguez-González, Luis M. Delgado, Román A. Pérez
核心关键词:二氧化硅、明胶、杂化材料、溶胶-凝胶、直写式(DIW)3D打印、骨组织工程、支架
全面解析森工DIW墨水直写3D打印机在该类研究中功能匹配情况及需定制功能,帮助用户更好地选择合适的3D打印设备及功能模块。
多通道气动常温模块:使用常温打印头加载精准气压调节,气压重复精度±1KPa,保证打印的线条的均匀性、精度,提高实验效率;
在线混合模块:可以实时在线混合,实现指定比例混合材料,制备不同性能材料 。
2、需定制的模块:
冷冻干燥箱:利用真空冷冻干燥技术进行物质干燥。
独立二级平台:便于使用显微镜观察每一层的打印状态
独立二级平台:可打印范围200x150x30mm
由于小编学识所限,文中内容难免存在疏漏或不足之处。若您发现任何错误或值得商榷的观点,恳请不吝指正,
小编将第一时间修正完善。感谢您的包容与支持!
本文内容来源于网络公开素材,发布的目的在于学术交流、研讨分享,
如相关内容涉及侵权,请联系我们,将第一时间下架内容!

论文分分享 I Structure design of an innovative 3-dimensional-printed emulsion carrier for stabilizing pol

森工科技亮相第四届陶瓷增材制造前沿科学家论坛 罗建旭发表“高性能非金属材料挤出直写与粘接剂喷射工艺解决方案”主题报告

森工科技 AutoBio2000多通道食品3D打印机助力深圳大学化学与环境工程学院食品科学与工程系范方辉团队登顶食品工程 TOP 期刊

DIW直写3D打印机在陶瓷材料科研领域的应用及优势

深圳森工科技有限公司生物3D打印机在科研领域应用的核心优势

森工AutoBio1000DIW直写高分子材料3D打印机助力北京化工大学团队在《JACS》发表高水平论文