利用可再生能源产生的氢气进行CO₂甲烷化(电转气技术),能够实现化学储能并减少CO₂排放,合成甲烷可通过现有天然气基础设施存储和运输,在能源按需供应、工业减排等领域具有重要应用价值。
CO₂甲烷化反应(萨巴蒂尔反应)具有热力学优势,但动力学限制显著,需高效催化剂实现高转化率和选择性。镍基催化剂因催化性能良好、储量丰富且成本低廉,成为CO₂甲烷化的主流选择,γ-Al₂O₃是常用载体材料,可实现金属的高分散性。
传统催化剂制备方法存在步骤繁琐、材料浪费等问题,而增材制造(3D打印)技术能够制备复杂几何结构,减少生产步骤和材料损耗。直接墨水书写(DIW)作为一种灵活的3D打印技术,可实现多材料复合结构制备,为催化剂制造提供了新途径。本研究旨在通过DIW技术一步制备Ni/γ-Al₂O₃整体式催化剂,探究Ni负载量和烧结温度对催化剂性能的影响。
以硝酸镍六水合物(Ni(NO₃)₂·6H₂O)为Ni前驱体,γ-Al₂O₃粉末为载体,Pluronic® F-127为凝胶剂,通过双不对称离心混合机制备含不同Ni负载量(2.5、3.8、5.0 wt%)的墨水。墨水经DIW技术打印成木堆结构(50%填充率)的生坯,随后在空气氛围中进行单一热处理(脱脂和烧结),烧结温度分别为450℃和600℃。
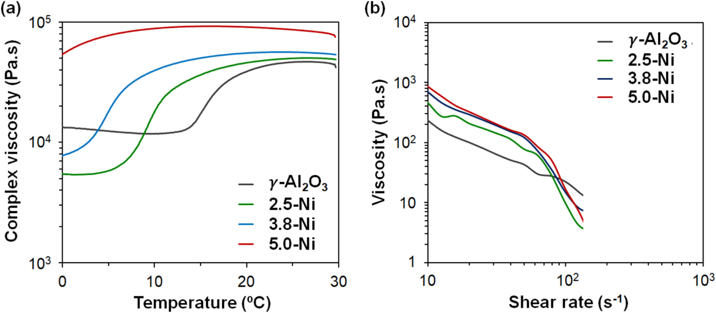
通过旋转流变仪对墨水进行温度扫描、流动扫描、振幅扫描和三区间触变性测试,评估其可打印性:
在固定床反应器中进行CO₂甲烷化性能测试,反应条件:H₂:CO₂=4:1,总流量100 mL/min,温度范围200-600℃,评价指标包括CO₂转化率、CH₄选择性和CH₄产率,并进行10小时稳定性测试。
通过XRD、拉曼光谱、热重分析(TGA)和HR-TEM对反应后催化剂进行表征,研究Ni颗粒稳定性和积碳特性。
| 项目 | 详情 |
|---|---|
| 论文标题 | 3D-printed Ni/γ-Al₂O₃ catalysts for CO₂ methanation: Effect of Ni loading and sintering temperature |
| 期刊名称 | Chemical Engineering Journal |
| 发表年份 | 2025 |
| 卷期页码 | 523 (2025) 168665 |
| DOI | https://doi.org/10.1016/j.cej.2025.168665 |
| 开放获取协议 | CC BY-NC-ND 4.0 |
| 资助项目 | EU Regional Development Fund、PID2024-156765OB-C21等多个项目 |
全面解析森工DIW墨水直写3D打印机在该类研究中功能匹配情况及需定制功能,帮助用户更好地选择合适的3D打印设备及功能模块。
①常温打印模块: 配备精密的调压模块,调压精度±1KP,实现不同粘度材料的稳定打印;
①可升级多通道打印头,实现不同Ni负载量的墨水打印结构制备,为催化剂制造提供了新途径;
①多通道打印头: 2-4通道设计,可装载多材料进行协同/并联打印;
由于小编学识所限,文中内容难免存在疏漏或不足之处。若您发现任何错误或值得商榷的观点,恳请不吝指正,
小编将第一时间修正完善。感谢您的包容与支持!
本文内容来源于网络公开素材,发布的目的在于学术交流、研讨分享,
如相关内容涉及侵权,请联系我们,将第一时间下架内容!

论文分分享 I Structure design of an innovative 3-dimensional-printed emulsion carrier for stabilizing pol

森工科技亮相第四届陶瓷增材制造前沿科学家论坛 罗建旭发表“高性能非金属材料挤出直写与粘接剂喷射工艺解决方案”主题报告

森工科技 AutoBio2000多通道食品3D打印机助力深圳大学化学与环境工程学院食品科学与工程系范方辉团队登顶食品工程 TOP 期刊

DIW直写3D打印机在陶瓷材料科研领域的应用及优势

深圳森工科技有限公司生物3D打印机在科研领域应用的核心优势

森工AutoBio1000DIW直写高分子材料3D打印机助力北京化工大学团队在《JACS》发表高水平论文