近日,宁夏大学罗发亮团队在《Fuel》发表了相关研究,探讨DIW墨水直写3D打印技术制备镍(Ni)催化剂提升CO₂甲烷化反应催化性能的应用。
CO₂甲烷化反应(CO₂ + 4H₂ → CH₄ + 2H₂O)是重要化学反应,可将温室气体CO₂转化为甲烷(CH₄),助力缓解温室气体排放,为能源存储与利用提供潜在途径。镍(Ni)基催化剂因成本低、催化活性与稳定性良好,在CO₂甲烷化反应中应用广泛。但其性能与稳定性受活性表面积、粒子大小、分散性等因素制约。
近年来,3D打印技术(DIW墨水直写 3D打印)为催化剂设计与制备提供新方向,可精确控制催化剂形貌、结构与组成,优化催化性能。
基于DIW墨水直写3D打印技术设计与制造镍(Ni)催化剂,评估其在CO₂甲烷化反应中的催化性能,借助3D打印技术优势改善催化剂结构与活性,提高CO₂转化率与甲烷产率。
图1 结构顶视图和剖面图(1-1斜网格、垂直网格、1-3位错网格、1-1旋转斜网格)
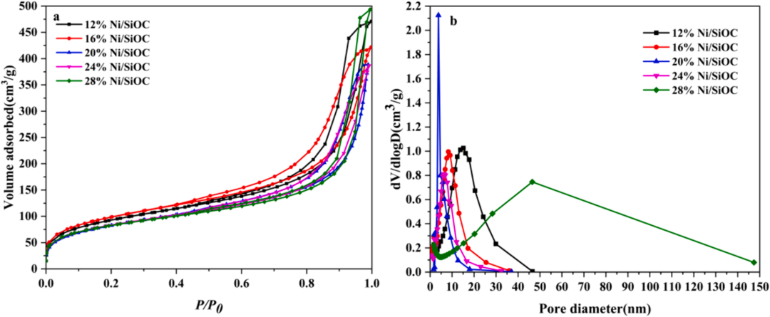
图2 不同Ni浓度催化剂的N₂吸附-脱附等温线(a)和孔径分布(b)
图3 20%Ni/SiOC催化剂的扫描电镜图
全面解析森工DIW墨水直写3D打印机在该类研究中功能匹配情况及需定制功能,帮助用户更好地选择合适的3D打印设备及功能模块。
本文内容来源于网络公开素材,发布的目的在于学术交流、研讨分享,
如相关内容涉及侵权,请联系我们,将第一时间下架内容!

3D打印高性能Ag/BaTiO₃陶瓷-聚合物压电传感器,赋能生物医学应用

用于3D打印分层多孔电极的Co₃O₄/CeO₂高性能墨水,助力固态超级电容器能量密度跃升

基于直写式垂直 3D 打印技术、嵌入多个人工机械感受器的防水纤毛电子皮肤及其在船员健康管理中的应用

再传喜报,森工AutoBio1000直写3D打印设备助力华师大&韩国KAIST科研团队在材料科学顶刊发表高水平论文

关于不法分子冒用“森工科技”实施APP诈骗的严正声明

Structural-engineered V₂O₅/MoO₃ nanocomposite scaffolds via direct ink writing 3D printing for asymm